I just finished a big update of a working paper, "Monetary Policy with Interest on Reserves." It also sheds light on the question, what is the sign of monetary policy? (Previous posts here, here and here).
Again, the big issue is whether the "Fisherian" (Shall we call it "Neo-Fisherian?") possibility works. The Fisher equation says nominal interest rate = real interest rate plus expected inflation. So by raising nominal interest rates, maybe expected inflation rises?
The usual answer is "no, because prices are sticky." So, I worked out a very simple new-Keynesian sticky price model in which prices are set 4 periods in advance.
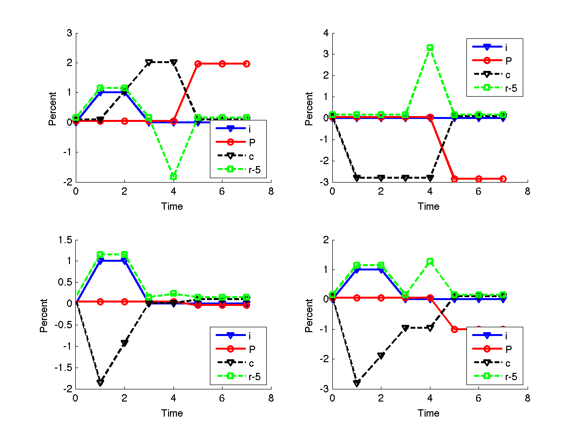
The top left panel of the graph shows the heretical result. I suppose the Fed raises interest rates by 1 percentage point for two periods, then brings interest rates back down (blue line). Prices are stuck for 4 periods (red line) so don't move. After 4 periods prices fully absorb the repressed inflation -- the Fisher equation works great, only waiting for prices to be able to move.
In the meantime the higher real interest rates (green) induce a little boom in consumption. So, raising rates not only raises inflation, it gives you a little output boost along the way! Raising rates forever does the same thing, but sets off a permanent inflation once price stickiness ends.
Why do conventional models give a different result?
There are two big reasons. If the Fed raises interest rates, and this causes a deflation, then the Treasury has to raise taxes to pay bondholders the greater real value of their debt. Most models implicitly pair monetary policy shocks with fiscal policy shocks of this sort. In this model, I kept monetary and fiscal policy shocks separated. In the top left panel, I asked, what if the Treasury doesn't go along -- or can't -- and the stream of real surpluses or deficits does not change when the Fed changes monetary policy?
The top right hand panel shows a pure fiscal policy shock. Here the Fed leaves nominal interest rates alone, but there is a positive fiscal shock, raising the value of future surpluses by 3%. This is a deflationary shock, and as soon as prices can move they jump down 3%. In the meantime, consumption falls. The "austerity" if you will (we should banish this horribly misused word, but only after I use it here for effect) induces a recession and deflation.
The bottom panels show a conventional new-Keyensian style prediction. Here I paired the higher interest rate -- monetary policy of the top left panel -- with a deflationary fiscal shock, as in the top right panel. Now you see the "conventional" pattern emerging. The higher interest rate is associated with higher real interest rates and lower consumption, and lower output (the same thing here). In fact, here there is no long-run inflation effect. This combined monetary - fiscal policy shock is a purely real "cooling off" policy, and its opposite a pure "stimulative policy" with no effect on inflation. That may explain why so many actual policies in the data, which we think of as just "monetary policy" are in fact coordinated monetary - fiscal policies of this sort. The government wants to smooth output without causing inflation, and this coordinated monetary-fiscal policy shock does the trick
The system is linear, so you can eyeball what happens by mixing different amounts of the two shocks. I wanted to produce an interest rate rise that leads to less inflation, and the bottom right picture does it by adding a larger fiscal shock to the monetary shock. This picture accords with the textbook "response to a monetary policy shock" in textbooks. By the "passive fiscal" assumption, the textbook response is paired with contractionary fiscal policy. But you can see, when we break it apart, that it's the fiscal policy doing the deflating, and the monetary policy is actually pushing the opposite way.
While the bottom right response is a sensible thing that a government might want to do to offset an output shock, the bottom right one does not look like a very sensible way to cause more or less inflation. If you want only to cause inflation, the top left looks like a better possibility.
In sum, this graph suggests that monetary policy alone could well be "neo-Fisherian," that a rise in interest rates, even with sticky prices, might produce larger output, and eventually inflation, not the opposite. It suggests that we think otherwise, because our past interest rate increases have been been coordinated with fiscal tightening. They have done so, because they wanted to affect the economy and not cause inflation. If you want just to cause inflation, maybe do something different.
The paper suggests another reason why we may be in a "Neo-Fisherian" moment, unlike past experience. In the past, to raise interest rates, the Fed had to lower reserves, lower the money supply. This worked through the money multiplier, lower lending, and all that standard story. Now, the Fed will raise interest rates by simply raising the interest on reserves, without "rationing liquidity" at all. An interest rate rise with no change in money supply, with no rationing of liquidity, with no impact on reserve requirements, etc. may have much more "frictionless" effects than past interest rate rises that went with all this money-rationing.
Before my favorite blog antagonists go all nuts about this and campaign for a quick public stake-burning of heretics, let me clarify that I think this is a fun idea to investigate, but not nearly ready for policy. I spend so much time bemoaning my colleagues' well intentioned but hubritic tendency to fly to Washington and advocate for a trillion dollars to be spent on the latest clever idea they worked out on the plane, that I want to keep some scientific reserve on how quickly this idea translates to opeds and policy advice.
But it is an interesting idea to think about. Needed: more realistic models, better understanding of the fiscal coordination and communication mechanism (the paper suggests that inflation targeting is a fiscal communication device, a constraint on the Treasury, not the central bank), and a follow-up on this idea that perhaps interest rate rises that do not ration liquidity are more neo-Fishererian.
Update: Josh Hendrickson, the Everyday Economist, has a nice post on this issue. He points out, essentially, that all models have an equilibrium at nominal interest = real interest + expected inflation. The key is stability: If you peg nominal interest, do small deviations lead to explosions, or does the system converge? In old Keynesian models, with backward looking expectations, they explode. In new Keynesian models, however, if you peg interest rates (no Taylor rule), the system is stable. There may be too may equilibria, but pegging the nominal rate, inflation converges to the Fisher value.
Update: Josh Hendrickson, the Everyday Economist, has a nice post on this issue. He points out, essentially, that all models have an equilibrium at nominal interest = real interest + expected inflation. The key is stability: If you peg nominal interest, do small deviations lead to explosions, or does the system converge? In old Keynesian models, with backward looking expectations, they explode. In new Keynesian models, however, if you peg interest rates (no Taylor rule), the system is stable. There may be too may equilibria, but pegging the nominal rate, inflation converges to the Fisher value.

"The Fisher equation says nominal interest rate = real interest rate plus expected inflation. So by raising nominal interest rates, maybe expected inflation rises?"
ReplyDeleteThere is a process underlying the reasonableness of the Fisher equation. People desire to lend for a competitive profit, so they won't lend below some "real rate", on average. Then, there is an average estimate of inflation, which raises the market rate (the nominal rate) to be a floor on their lending, on average.
The nominal rate emerges from thousands of these estimates, averaged, and a feedback to rough equilibrium. The nominal rate is an observed, market price. The Fisher equation is descriptive, for prices in equilibrium, and doesn't explain anything about how the "real" interest rate is determined.
So, how can one expect to modify expected inflation by somehow intervening to change the nominal interest rate? Whatever is done may directly change one or both of the real interest rate and expected inflation.
As an analogy, it is reasonable that the price of wheat depends on the "real" price of wheat plus the costs of transportation. It is illogical to expect that some intervention in the price of wheat will change expectations of transportation costs while leaving the "real" price of wheat unchanged.
The short version: How do I change an averaged, observed price? And, if I can, then why would I expect to have any predictable effect on one of the components of that price? And, how can I reason about any of this from a simple theory without knowing all of the dynamics underlying the "real" price? Why would any models constructed like this have any relation to reality or produce reliable predictions?
John,
ReplyDelete"If the Fed raises interest rates, and this causes a deflation, then the Treasury has to raise taxes to pay bondholders the greater real value of their debt."
Wrong, just plain wrong. Suppose tax revenue is 20% of nominal GDP and is stable at 20% of nominal GDP. Nominal GDP growth is 5%, real GDP growth is 3%, inflation is 2%. Fed raises interest rates, 2% inflation turns to 2% deflation, real GDP growth is now 7% (5% nominal + 2% deflation).
Why does the Treasury need to raise taxes?
Also, the Fisher effect breaks down at high nominal interest rates because of the tax deductibility of interest expense.
If you can get 5% nominal GDP growth, then great. Usually, deflation in this situation assumes stagnating or falling GDP.
Delete(It is important to distinguish between deflation as a result of strong technological advancement during growing economy (very good) and deflation during weak economy (usually bad).)
The treasury needs to raise taxes to pay for the new interest on bonds. If the interest on a 1 period bond is 0%, then the interest payment will be zero. If the interest rate on that a 1 period bond increases to 5%, then the interest payment will go up to to 0.05*(price of bond). Now the treasury has to pay more interest, so it has to raise taxes.
DeleteFrom your paper:
ReplyDelete"Government debt with explicitly variable coupons would allow adjustments without explicit default, crisis, or inflationary consequences. Then, adjusting the coupon rate in response to shocks becomes a vital policy tool."
Goes against the role of the federal government in conducting counter cyclical policy - doesn't it? If the interest payments are considered just another form of government expenditure, then government expenditures fall during a recession and rise during a boom - the exact opposite of what you want from policy.
This is not much different than what Robert Shiller proposed with Trills - variable coupon government securities - and have the exact same problem - they are a pro-cyclical policy tool.
Consider instead government risk bearing securities (equity). Government sets potential rate of return high during recessions and low during booms (counter cyclical). Realized rate of return on government equity is pro-cyclical - low during recessions and high during booms.
Here is my very simple little model: http://worthwhile.typepad.com/worthwhile_canadian_initi/2014/10/sign-wars-with-price-level-targeting.html
ReplyDeleteThanks Nick, this really helped clarify what John is trying to say.
DeleteMaybe negative real rates, in a consumption driven world (as opposed to an investment driven world), does not incentivize consumption at all, by watching the real value of their savings erode, maybe consumers restrain consumption as opposed to increase it. But if they are not worried about the real value of their financial assets, maybe they increase consumption now ...
ReplyDeleteProfessor Cochrane,
ReplyDeleteAt the risk of sounding contrarian, I want to disagree with the way you're selling your argument. Before I do, I want to make it clear that I agree with the neo-Fisherian argument you present here about the sign of monetary policy (and the caveats you add!). If nothing else, your gymnastics with New-Keynesian models should create a great deal of disquietude among those who seek to rely on these models.
Rather, my argument is about interest on reserves. This is not new. Many - perhaps most - countries were ahead of the Fed in paying interest on reserves. For most countries, a corridor is, as I understand it, common. Most central banks pay interest below the target on deposits and charge a rate above the target for repos.
I'm not suggesting that this undermines your argument. If anything, it strengthens it because it is more widely applicable. Rather, I'm suggesting that interest on reserves is not a "fundamental change" to monetary policy. It is new only for the Fed (and even there, the Fed has always paid interest on required reserves). I'm perhaps indirectly suggesting that the 'standard story' you quote and disagree with in your introduction (that 'to tighten, the Fed sells treasuries in exchange for reserves') was never right to begin with. But I'm yet to think about it enough to state that directly and unreservedly.
I live in Brazil, where we have floating rate, zero market risk treasury bonds. When we were fighting inflation in the 90s and interest rates were 20+ %, heterodox economists (left wing) suggested reducing interest so that there would be a negative wealth effect in the private sector, forcing them to reduce spending. The thing is that the "big spender" in Brazil has always been the government, therefore, even if raising interest rates increases wealth in the private sector that does have savings, it still forces the "big spender" (who happens to be a net debtor) to reduce even more spending (therefore achieving a high primary budget surplus) and reduce inflation as a consequence. Persio Arida wrote a paper with a model where he explainded that having floating rate treasuries (like having a T-bill whose coupon payment is tied to the current fed funds rate) will make monetary policy less effective, but it would still work. That happens because although private savers are wealthier and maybe sill spend a little more, but, if the government has budget constraints, it will reduce public speding even more and that will reduce aggregate demand and impact inflation positively (reducing it). Now, what if the government does not have a budget constraint ? And private saver will spend more ? Maybe you will have more spending by increasing interest rates. But you must have floating rate treasuries in order to achive this inverse wealth effect ... Like in Brazil ...
ReplyDelete"The Fisher equation says nominal interest rate = real interest rate plus expected inflation. So by raising nominal interest rates, maybe expected inflation rises?"
ReplyDeleteWhy do so many smart economists fall for this one?
"The usual answer is "no, because prices are sticky.""
I don't see what sticky prices have to do with this.
Here's my take on this. It's actually very simple.
n = r + i
In this identity, r here is the *real* rate of return on *nominal* assets. Call it r_nominal (I know it's a bit annoying to label it nominal given that it is real, but bear with me).
There is another r that exists independently of money. It's the r that shows up in many macro model that don't even mention money. It's the rate that clears the inter-temporal consumption market Let's call it r_macro.
The money market equilibrium condition, under which inflation doesn't go nuts is:
r_macro = r_nominal
That is not an identity, it's the job of the central bankers to make sure that this holds. They can't do it perfectly because they don't observe r_macro and don't measure inflation perfectly.
But essentially, if inflation is a bit higher than they want, they raise r_nominal in the hope that it goes above the ever elusive r_macro. Or they credibly threaten to do so in the future (forward guidance). This little dance of r_nominal around their best guess of r_macro is what keeps inflation where they want it and the money market in equilibrium.
If the Fed decided to set nominal rates to 15% tomorrow and forever, this would be an explosive deflationary path.
r_nominal = 15% - i with i very low would mean that r_nominal is huge.
r_macro is not affected if you view money as neutral, probably drops if money isn't neutral.
So now, r_nominal is now much much higher than r_macro ==> returns on nominal assets are higher than they should be ==> deflation.
Any monetary policy where the central bank doesn't somehow convince the market that its actions ultimately lead to r_nominal targeting r_macro leads to theoretically explosive paths.
So, when Fed chairman Paul Volcker raised interest rates in the early 1980s, the result was an inflationary boom?
ReplyDeleteThe 1980s were a classic joint fiscal-monetary contraction. That's in the paper. Tax reform, growth, led to large surpluses that paid off a handsome present to bondholders, and paid for a decade of high interest costs. Many monetary tightenings have failed without this fiscal support.
DeleteAlso, if you have floating rate bonds (or pay short term interest on reserves), increasing interest will actually increase the interest income of savers, and that could be an incentive to spend more ...
DeleteJose,
DeleteIt depends on where the interest income comes from. For instance, if taxes are financing the interest income, then it is a wash - sure you get more interest income but you are also paying more in taxes.
It also depends on the type of bonds being sold and how they are held. If the bonds repay interest and principle at maturity (zero coupon bonds) or if the bonds are held in a retirement / insurance account, then the interest income available to spend on goods is deferred.
Ben,
DeleteSee the attached chart:
http://research.stlouisfed.org/fred2/graph/?chart_type=line&recession_bars=on&log_scales=&bgcolor=%23e1e9f0&graph_bgcolor=%23ffffff&fo=verdana&ts=12&tts=12&txtcolor=%23444444&show_legend=yes&show_axis_titles=yes&drp=0&cosd=1947-01-01%2C1947-01-01&coed=2014-08-01%2C2014-08-01&width=670&height=445&stacking=&range=Custom&mode=fred&id=CPIAUCSL%2CFEDFUNDS&transformation=pc1&nd=&ost=-99999&oet=99999&scale=left&line_color=%234572a7&line_style=solid&lw=2&mark_type=none&mw=1&mma=0&fml=a&fgst=lin&fq=Monthly&fam=avg&vintage_date=&revision_date=
You should see that increases in the fed funds rate was many times a leading indicator of higher inflation to come. You can't establish causality from this graph, but it should give you pause in saying that increases in a nominal interest rate set by the central bank will always and forever reduce the inflation rate.
Thanks Frank, but I was thinking about expectations: if a person is confident the value of her savings will not be reduced by negative real interest rates, she may well spend more of her current income now. instead of saving more to make up for the loss in real value of her savings ... Negative interest rates seem important to incentivize spending because it makes possible people to borrow and spend with a net gain (but borrowing may not be possible at all) and if you are an entrepreneur, negative real rates may be a good idea to fund projects (but good projects maybe difficult do find), in the mean time, negative real rates only destroy wealth, or rather, transfer wealth to net debtors like the government). I think people take for granted that printing money and having negative real rates helps the economy to recover, but if we were to take the last few years as a case study, that conclusion is not so straightforward to me.
DeleteJose,
DeleteFair enough, you are talking about wealth effect.
"In the mean time, negative real rates only destroy wealth, or rather, transfer wealth to net debtors like the government."
The government gets no financial benefit from higher inflation. It's revenue stream (taxes) is denominated in the same medium as it's liabilities (debt).
If the real value of a government's debt rises, then the real value of it's tax revenue rises just as much. If the real value of a government's debt falls, then the real value of a government's tax revenue falls just as much.
Most economists associate deflation with falling nominal GDP, but an economy can have rising nominal GDP with falling prices.
Ben is correct; this is patently unbelievable. The JC claim is at odds with reality and good experience. In this case, reality and good experience must prevail.
DeleteAny central bank that wants to lower inflation and expected-inflation can do so by raising interest rates. The Fisher identity is either wrong or misapplied.
I don't see how one can argue that the 1980's were a classic joint fiscal-monetary contraction. The early part of the Reagan era was a huge monetary contraction coupled with a huge fiscal expansion. Initially Reagan had both tax cuts and increases in government employment as evidenced by the unprecedented relative expansion in government debt. The monetary contraction shock was countered by a huge positive fiscal shock. Fiscal expansion is net T and G. The data from Reagan is, to a relatively unbiased scientist, proof that fiscal policy is the big knob. Since the relative debt ratio increased under Reagan I don't (as a scientist) see how anyone could describe this as fiscal contraction. Relative spending did go down in the later years of Reagan, but fiscal policy net T and G, not G.
ReplyDeleteStill, if it is expectations and signaling that work...why now and not then?
ReplyDeleteAlso Reagan ran big deficits....I assume you will say that was only interest payments...but there was huge defense build up....
The huge defense build up began in 1972.
Deletehttp://research.stlouisfed.org/fred2/series/FDEFX
It continued through the Ford and Carter administrations and tailed off starting in 1981.
Defense spending is irrelevant. The point is there were large primary surpluses, which is what counts for a joint fiscal monetary contraction.
DeleteFrank--Right now, I have to confess I can hardly believe anything.
ReplyDeleteCochrane says fiscal policy is so important---but we have Japan and minor deflation for 20 years while they ran huge fiscal deficits...
Then Cochrane says Reagan was a fiscal tightie---but the data shows federal debts to GDP soaring under Reagan. Cochrane says well, Reagan's primary budget wasn't so bad...it was actually coordinated with Volcker.
But what was Volcker signaling with his higher rates? That inflation would get out of control, so everybody had to raise prices?
And the Fed Bank Texas says QE is anti-inflationary, like the way the German Rentesbank bashed inflation back in the 1920s. The money supply was backed by real estate assets.
Thanks for the defense chart---maybe we should just say the huge defense build-up started in the Korean War and ever let up.....and so we evolved into what David Stockman calls the warfare state.
You say higher interest rates do not curb inflation---but what about the great Volcker?
But if Cochrane is right, we can go to the wall on QE, and wipe out the national debt, and lower interest on reserves to 10 basis points annually as that is anti-inflationary, sends a signal...
Ben,
DeleteOne other thing to note, because interest expense is tax deductible for private enterprise, the Fisher effect falls off with higher nominal interest rates. With a 25% tax rate, a company that is borrowing at 8% nominal has a 6% after tax cost of borrowing. Meaning it would only need to raise prices 6% annually to cover it's financing costs.
That doesn't explain why the inflation rate fell during the 1980's, but it does explain how the central bank is able to find borrowers at a positive real rate of interest.
One thing that did happen during the Reagan administration was that the tax deduction for credit card interest was eliminated.
Ben,
ReplyDelete"You say higher interest rates do not curb inflation---but what about the great Volcker?"
I said that higher nominal interest rates in and of themselves do not curb inflation. One thing to keep in mind is that the Consumer Price Index (CPI) has been adjusted several times over it's history. In 1983 housing prices were replaced with owner's equivalent rent. In 1994, the Boskin Commission added in hedonic adjustments.
The standard story is that rising nominal interest rates will tend to curb credit expansion if the central bank is trying to maintain a positive real interest rate. However, that is not what happened in the 1980's.
See:
http://research.stlouisfed.org/fred2/series/TCMDO
Credit growth peaked in 1978 at 15% year over year growth and then fell to 10% year over year by 1983. In 1983, housing prices were eliminated from the CPI, credit growth accelerated, and the CPI did not reflect rising home prices.
Frank -I agree with you that there have been many changes in the way that inflation is measured. Any method is somewhat subjective and arbitrary. That raises the question: why is zero percent inflation so important, if it is just an artifact of a measurement?
DeleteBen,
Delete"That raises the question: why is zero percent inflation so important?"
Ultimately government exists as an arbitrator between individuals / groups of people that have divergent interests. It is in the best interest of a producer to obtain the highest profit margin on the goods he / she sells. It is in the best interest of a consumer of goods to buy goods at the lowest cost.
Zero percent inflation is the "happy middle" between those divergent interests.
"Any method is somewhat subjective and arbitrary."
It is subjective, but not arbitrary. The changes made to the consumer price index were not just randomly picked out of a hat. The logic behind removing housing prices from the CPI is fairly straightforward - there is no uniform, country wide market for housing. The price of a house is in part determined by where that house is located.
A new Ford pickup - same model, year, accessories will have the same sticker price whether it's sitting in a dealer lot in Ohio or California. The exact same house sitting in the Cleveland suburbs or on the coast of California will have prices that are reflective of their respective locations.
OK, I have done a post, laying out what I *think* is the intuition behind your paper. Or you might think of my post as "reverse-engineering" your model's results.
ReplyDeleteMy model is more monetarist, and much simpler, but it leads to the same results.
http://worthwhile.typepad.com/worthwhile_canadian_initi/2014/10/john-cochranes-monetary-policy-with-interest-on-reserves.html
John, so what are your thoughts on Peter Ireland's paper on the same topic? He shows there are operational changes from going to an IOR regime, but that the long-run quantity theory still holds. http://irelandp.com/papers/reserves.pdf Thanks.
ReplyDeleteIn the main paper, several typos:
ReplyDeletePage 4:
“Beta = 1 / (1 + r) is a constant real interest rate”
Should be “a constant real discount factor”
(Or a one period bond price as later interpreted)
Page 6:
"To set an interest rate target, the government auctions bonds it says the nominal interest rate will be 5%. We sell nominal bonds at 1/0.95 dollars per face value - We will sell any amount demanded at that price. Equation (6) then is a simple reading of private demand if the government targets nominal interest rates at a level I - that equation tells us how many bonds Bt1 will be demanded. It reassures us that a finite amount will be demanded, and therefore the nominal interest rate target will work."
Should be 1 / (1.05) instead of 1/0.95
Page 31:
"Equation (1) has a natural aggregate demand interpretation. (Woodford 1995). If the real value of nominal debt is less than the present value of surpluses, then people try to spend their debt and money on goods and services. But collectively, they can't, so this excess aggregate demand just pushes up prices until the real value of debt is again equal to the present value of surpluses. Aggregate demand is nothing more or less than demand for government debt. By the private-sector budget constraint the only way to spend more on everything else is to spend less on government debt. This equation also expresses a wealth effect of government debt."
Should be “if the real value of nominal debt is greater than the present value of surpluses”
Thanks!
Delete"In the meantime the higher real interest rates (green) induce a little boom in consumption. So, raising rates not only raises inflation, it gives you a little output boost along the way!" - JHC
ReplyDeleteThis really is heretical. How do higher real interest rates induce a consumption boom? Is the intertemporal substitution (IS) effect not operative? I was under the impression that monetary policy in the NK models worked through the IS effect. Also, empirically the direction of causality goes the other way, pi causes i, at least for the post-war U.S. that is the case.
It's exactly the IS mechanism. If real interest rates rise, expected consumption growth must rise. The puzzle is that standard NK models achieve this by leaving tomorrow's consuption alone and today's consumption drops. In this model, today's consumption stays put and tomorrow's consumption rises.
DeleteJohn,
DeleteWhy would anyone knowingly borrow at a positive real interest rate? The simplest example is a world where all debt is floating rate. Central bank maintains a positive real interest rate, and all new / existing loans are adjusted to that positive real rate.
It seems that the central bank can adjust the nominal interest rate more quickly than markets can adjust other prices and so it should be able to maintain a minimum real interest rate that it will lend at. Sticky prices explain how a central bank is able to hit a real interest rate target.
Sticky prices does not explain how a central bank is able to find willing borrowers at that positive real rate. For that you need fiscal policy.
Andrew Garland nailed it. I may get moderated out for this, but I've got to be honest: this post reads like an insider parody of ivory tower drivel.
ReplyDeletehttp://www.vox.com/2014/10/31/7137041/japan-monetary-policy,
ReplyDeletehttp://www.vox.com/2014/7/8/5866695/why-printing-more-money-could-have-stopped-the-great-recession
You haven't seriously engaged with market monetarist ideas, Dr. Cochrane. Scott Sumner has a number of posts on monetary policy with IOR that you should be paying attention to.
"The Fisher equation says nominal interest rate = real interest rate plus expected inflation. So by raising nominal interest rates, maybe expected inflation rises?"
ReplyDeleteIf you are living in fairy land where monetary policy has no impact upon real rates, yes. In the real world, no.
Indeed, despite the unnecessarily snarky tone. But how long does monetary policy affect real rates. If the Fed raises the nominal rate to 5%, does it raise the real rate to 5% forever? Does deflation spiral out of control? In the paper, which you obviously did not read, real rates are affected as long as prices are sticky. But eventually, if the Fed just waits it out, inflation rises.
DeleteJohn,
Delete"In the paper, which you obviously did not read, real rates are affected as long as prices are sticky. But eventually, if the Fed just waits it out, inflation rises."
How much does inflation rise in relation to the nominal interest rate set by the Fed considering that interest expense in may cases is tax deductible?
http://worthwhile.typepad.com/worthwhile_canadian_initi/2014/11/neo-fisherites-and-the-scandinavian-flick.html
ReplyDeleteNick Rowe said it best.
Thoughts on your paper…
ReplyDeletehttp://monetaryrealism.com/john-cochranes-monetary-policy-with-interest-on-reserves/